Petri Lankoski
This is author’s version of the paper. The authoritative version is available via ACM.DOI: http://dx.doi.org/10.1145/2994310.2994320.
The paper is presented at AcademicMindtrek’16, October 17-18, 2016, Tampere, Finland (c) 2016 ACM. ISBN978-1-4503-4367-1/16/10… and published in the conference proceedings.
Abstract
Embodiment is used to denote the sense that something is a part of one’s body. The sense of own body is argued to relate to the sense of agency of one’s own actions and of the ownership of the body. In this sense of own body can incorporate something external to the body, such as simple tools or virtual hands. The premise of the study is that the player-characters and game controllers get embodied in a similar to a tool or a virtual hand. In order to study embodiment, a psychometric scale is developed using explorative factor analysis (n=104). The scale is evaluated with two sets of data (n=103 and n=89) using confirmatory factor analysis. The embodiment scale ended to having two dimensions: controller ownership and player-character embodiment. Finally, the embodiment scale is tested and put into action in two studies with hypotheses 1) embodiment and players’ skills correlate and 2) the sense of presence and embodiment correlate. The data (n=37 and n=31) analysed using mixed effects models support both hypotheses.
1 Introduction
The embodied relation between a player and a game has been discussed by Klevjer [15], Perron [23], and Gee [9]. They provide rich descriptions of the phenomenology of experiences. Klevjer talks about a player as a camera-body where the camera is a prosthetic extension of an agency and the player and the camera body are connected with tactile, motor or kinaesthetic link.Klevjer bases his argument on Merleau-Ponty’s [20] theory of the body image. Perron [23] focuses on horror games and the relation between the fictive bodies in the game and the real body of the player. The survival horror is the experience of self where the player-character1 doubles as the player where the controller, the screen, and loudspeakers link the player and the player-character. Gee [9], on the other, follows Barsalou’s [1] argument that meaning making is based on simulating our own embodied experiences.
Body image and body schema are concepts related to embodiment. Body image is usually used to mean “perceptual, emotional, or conceptual knowledge about the body.”[21] and “[t]he body schema is usually defined as a continuously updated sensorimotor map of the body that is important in the context of action, informing the brain about what parts belongs to the body, and where those parts are currently located”[21]. The embodiment is used to denote the sense that something is a part of one’s body. The embodiment is characterized by the sense of ownership and the agency (agency in the meaning that one has a sense of being able to control one’s own body).[6]
According to Merleau-Ponty, body extensions, such as walking stick, get incorporated into one’s bodies.[20] A famous example about perceiving something external as a part of owns own body is the “rubber hand illusion, for example, a prosthetic hand brushed synchronously with a participant’s own hand is perceived as actually being part of the participant’s own body” [18]. Multiple studies (e.g., [4][19][12]) indicate that tools can get integrated into one’s body image after prolonged use of a tool.
Gallagher [8] argues that sense of self depends on the sense of agency and ownership of one’s actions. Longo et al. [18] investigated the structure of embodiment using a psychometrical approach to better understand rubber hand illusion basing their psychometric scale of embodiment on theoretical concepts from Gallegher’s [8] and Tsakiris Prabhu and Haggard [29] work. While, Longo et al. [18] highlights that human-like hand and other extensions can be phenomenologically different, the rubber hand illusion is shown to happen also with virtual hands [14] and with a virtual body [31][28]. In addition, Pazzaglia et al. [22] (following the approach by Longo et al. [18]) indicate that embodiment can happen even with a wheelchair.
This study investigates embodiment in the character-based games using a psychometric approach based on Longo et al. [18] and Pazzaglia et al. [22]. Participants played commercial games and games specially developed for this study and rated their experience using Likert scale agreement or disagreement with statements. An explorative and confirmatory factor analysis (EFA and CFA) approach is used in this study to investigate the structure of the embodiment. In addition, the scale is evaluated against hypotheses based on the aforementioned studies of embodiment.
2 Study 1
This part focuses on finding a psychometric structure of an embodiment in games. A scale structure is a way to define a phenomenon in more concrete terms. We used a similar approach to Pazzaglia et al. [22] to modify the scale by Longo et al. [18] to study embodiment of a game controller and a player-character.
2.1 Method
To find initial scale structure with explorative factor analysis with the first data set (n=104) was conducted. The initial scale consisted of 17 questions. Around half of those questions were controller specific and half were player-character specific.
The participants were recruited online via Facebook, Twitter and Reddit. The participants were instructed to play a character-driven game (with a set of examples what the term means) least half an hour a before answering an online questionnaire. One participant was excluded because background information contained impossible values. Most participants in this study play daily or weekly.
Explorative factor analysis (EFA) was conducted in R [24] using principal axis factor analysis with polychoric correlations using the statistical package psych [25]. Polychoric correlation was used because the scale items are ordinal variables. The EFA follows procedure by Field et al. [7].
2.2 Results
Respondents background information is given in Appendix A.
To reduce the dimensionality of scale exploratory factor analysis was used. Before EFA, variables that had a lower correlation than 0.3 to any other variable were removed. In addition, variables with lower KMO than 0.5 were removed. Parallel analysis was used to determine the number of factors. Oblimin rotation was used in the analysis.
In addition, double loading variables and the items with lower than 0.45 loading were removed. The EFA processes ended up a two-factor structure. Table 1 shows loadings.
| Factor | ||||
| Scale item | 1 | 2 | h | |
| 10 | I perceived the game controller as a part of my body | 0.84 | 0.66 | |
| 11 | I perceived the game controller as an extension of my body | 0.72 | 0.49 | |
| 12 | I perceived the game controller as a substitute of my body | 0.70 | 0.72 | |
| 15 | It seemed like the game controller had disappeared | 0.57 | 0.39 | |
| 14 | It seemed like I was in the location where my character was | 0.78 | 0.47 | |
| 6 | I perceived the character I control as an extension of my body | 0.72 | 0.68 | |
| 13 | It seemed like the character I controlled was I | 0.70 | 0.52 | |
| 5 | I perceived the character I controlled as a part of my body | 0.67 | 0.64 | |
| Sum of squares loadings | 2.31 | 2.27 | ||
| Proportion of variance explained | 0.29 | 0.28 | ||
| Correlations | ||||
| Factor 1 | 1.00 | 0.55 | ||
| Factor 2 | 0.55 | 1.00 | ||
Factor 1 represents controller ownership and factor 2 represents player-character embodiment. Together, these factors account 58% for variance in the data. The descriptive statistics (mean embodiment and standard deviation along with Cronbach α) are given in appendix B.
The controller ownership factor is similar to the study by Longo et al [18] and the player-character embodiment factor contains similarities to the location and ownership factors from the study by Longo et al. [18]. Both factors contain items measuring the ownership of the controller and character and the actions of the character. Items in the controller ownership, in addition, is measuring how much attention the game controller is requiring or getting. The results are in the line of Gallagher’s [8] theory of sense of self.
3 Study 2
This study aims to confirm the scale structure using the confirmatory factor analysis (CFA). If the scale is measuring embodiment as described above, the embodiment experience should not have a strong connection to the personality of a player.
3.1 Method
The second study aimed to evaluate the findings in the first study. To that end, a CFA was conducted to a new data set (n=103). Because the first CFA did not meet the criteria for a good fit, the scale was modified. A CFA was conducted to the new dataset (n=89). The main criteria used to evaluate the goodness of fit in CFA were CFI and SRMR following Hu and Bentler’s [13] recommendation. Confirmatory factor analysis was conducted using lavaan package [27] in R. As data is not normally distributed, bootstrapped ML was used to compensate non-normality. According to Hancock and Muller [11], Likert scale variables having at least five ordinal categories can be treated as continuous in CFA.
Because data was gathered via the Internet anonymously, it is possible to that some people responded multiple times. Four answers were excluded because there was a previous answer with exactly the same background data.
In addition to scale items, Big five personality data was collected using a very brief measure of Big five domain.[10] Ordinal regression, ordinal (clm) [5] in R, was used in the analysis because the personality-embodiment linear model showed non-normal residuals.
3.2 Results
The goodness of fit tests (n = 103, X = 45.56, df = 19, p = 0.001, CFI = 0.94 , SRMR = 0.05) indicated that a modification of the model is needed. Indices indicated that removing items 5 and 12 would improve the fit. After removing these items, the goodness of fit test (n = 103, X = 12.37, df = 8, p = 0.14, CFI = 0.99, SRMR = 0.04) indicated a good fit. The CFA for the new independent data set shows again a good fit (n = 89, X = 11.37 df = 8, p = 0.18, CFI = 0.98, SRMR = 0.05). We can conclude, that scale measurements are consistent after modifications.
The respondents’ personality, assessed using the Big 5 instrument, have a small relation to the embodiment: high emotional stability scores reported lower character embodiment (estimate = -0.28, p < 0.01). No other Big-5 dimensions seem to predict controller embodiment. In this respect, character and controller embodiment can be judged to be rather independent to the personality of respondents.
Below, in next two studies, we investigate if the scale behaves in the ways the theory predicts.
4 Study 3
According to the aforementioned study by Cardinali et al. [4] learning to use tools includes updating a body image. Therefore, we can assume that learning to play a specific game would lead higher embodiment scale scores, especially in the controller embodiment evaluations. Hence, we can form following hypothesis
- Time used to complete levels (used as a proxy to the player’s skill) correlates negatively with player-character embodiment and controller ownership
4.1 Method
37 participants played a custom made game where the participants controlled a single character and were instructed to collect yellow spheres as fast as possible while avoiding collecting red spheres. The study used repeated measures, between-subject design. The game had four trials and two versions: one having standard controls (ASWD) (n=19) in each trial and another had different controls in each trial (n=18). Embodiment questions were asked after each trial. In addition, time to complete a trial was recorded along with the background data. The embodiment score was calculated by taking a mean of the scale items.

As the study design used repeated measures, a linear mixed model, lmer from lme4 R package [2], was used to analyze the data. The suitability of a linear mixed model was evaluated by using diagnostic plots that showed that residuals were sufficiently normally distributed when analyzing the data. Variance explained (Ω) by the model was calculated using Xu’s method [30]. As the relation between time and embodiment seems to have some non-linearity, time was log transformed leading to a better AIC (Aikake Information Criteria is used to compare the goodness of fit between models).
4.2 Results
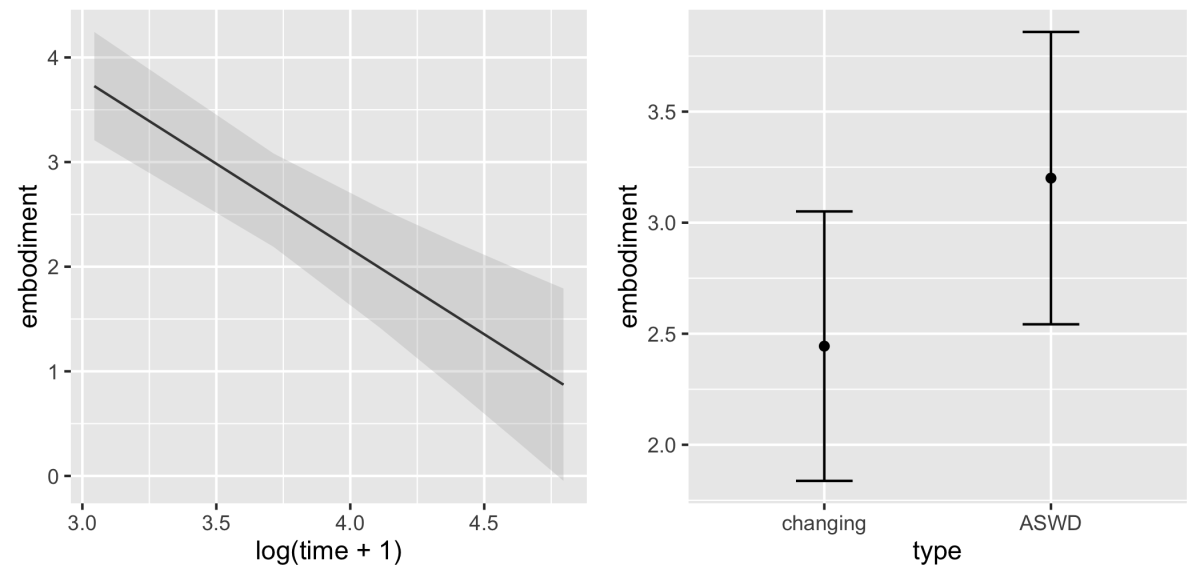
As all players played the same level multiple times, it is expected that there is learning in both cases (cf. Figure 2). The ASDW condition shows a clear downward trend in completion times. Notably, the changing controls condition / trial 3 used ASDW controls and that trial has somewhat better completion times than other trials in the changing controls condition.

Table 2 shows the model estimates and p-values. We see that shorter completion times relate controller ownership and player-character embodiment scores. There were no significant interaction between time and conditions, so the interaction was dropped. In both conditions, the embodiment correlates negatively to the completion time. The ASWD condition has lower completion times in general than changing controls condition. The ASDW controls are the default in computer games and most participants reported that they play much computer games; hence it is expected that the participants perform better using familiar controls compared to unfamiliar ones. The model shown in table 2 has a better fit to the data than random effect only model (X=36.58, df=2, p<0.001).2 However, variance explained (Ω = 0.86) is little better than random effect model (Ω = 0.84), but that is expected as the skill of participants vary much the four tries does is little time to for learning. The model indicates that completion time mainly explains the connection to embodiment. However, because the completion times time are significantly different in the conditions (-0.56, p < 0.001)3, embodiment scores also discriminate between conditions.

Because the time was used as a proxy for learning, we can conclude that the statistical model supports the hypotheses that learning to play a game and embodiment experience relate.
| Embodiment | |
| (Intercept) | 8.29*** |
| (1.23) | |
| Controls ASDW | 0.76 |
| (0.45) | |
| log(Time + 1) | −1.62*** |
| (0.32) | |
| Num. obs. | 141 |
| Num. groups: id | 37 |
| Var: id (Intercept) | 1.49 |
| Var: Residual | 0.48 |
| Var explained (Ω) | 0.86 |
| ***p < 0.001, **p < 0.01, *p < 0.05 | |
5 Study 4
Klevjer [15] argues that embodiment figuratively transports players’ bodies to screen and make the players feel being present in the screen world. The theory that the embodiment of external tools relates to sensory-motor integration of tools to body presentations also implies that embodiment in the game would relate to the sense of presence in the game world because with that integration the tool would vanish from the phenomenological experience (cf. [20]). This leads to the idea that the sense of presence and embodiment are connected and we can formulate the following hypothesis:
- The sense of presence and embodiment correlates positively
In addition, as embodiment rest on sensory-motor integration, camera angle should not have a big impact on the embodiment.
5.1 Method
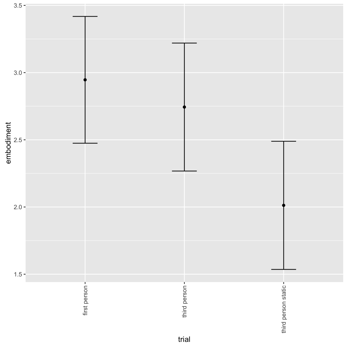
31 participants played a custom-made game where the participants controlled a single character and were instructed to collect yellow spheres as fast as possible. The study used counterbalanced, repeated measures, within-subject design. The study game had three trials. Each trial used different camera angle: first-person camera, third person static bird eye camera, and a traditional third person camera. All versions used ASDW controls where A and S keys were used to turn the camera in the first person and the traditional third person camera. Figure 4 shows the camera angles used in the game.

After each trial, the players were asked to evaluate the sense of presence in addition to the embodiment. The sense of presence data was collected using PENS instrument (cf. [3]).
The analysis is conducted using linear mixed models in a similar way to study 3. The residuals of the models are sufficiently normally distributed.
5.2 Results
The camera angle has some effect on the embodiment scores. The static third person camera condition has lower mean scores (cf. table 3 and figure 5) compared to the normal first person and third person cameras. The embodiment scores in the normal third person and the first person camera condition does not differ significantly from each other.
In the first person and third person camera conditions, the camera responds directly to the player’s controls enabling mapping the motor actions of hands to movements of the camera. However, the controlled character is shown in the third person view, the character has its own movement animations that can be controlled only indirectly: when the character is moving animations showing hands based on the animation. It might be that those animations are not (in this game) integrated to own body image because the player does not felt a sense of ownership to the movements.
| Embodiment | |
| (Intercept) | 2.95*** |
| (0.24) | |
| Camera: Third person follow | −0.20 |
| (0.21) | |
| Camera: Third person static | −0.93*** |
| (0.21) | |
| Num. obs. | 88 |
| Num. groups: id | 31 |
| Var: id (Intercept) | 1.06 |
| Var: Residual | 0.65 |
| ***p < 0.001, **p < 0.01, *p < 0.05 | |

There is a significant effect between the sense of presence and the embodiment (cf. table 4). The model in table 4 (the model effects are illustrated in figure 6) ha a better fit to to data than a random effect model (X = 60.71, df = 2, p < 0.001). The random effect model explains 66% variance (Ω = 0.66). The model suggests the players related their experience with the higher presence scores when they evaluated their embodiment with higher scores and we can conclude that the model supports our hypothesis.
| Presence | |
| (Intercept) | 1.88*** |
| (0.21) | |
| Embodiment | 0.36*** |
| (0.06) | |
| Camera: Third person follow | −0.19 |
| (0.13) | |
| Camera: Third person static | −0.09 |
| (0.14) | |
| Num. groups: id | 31 |
| Var: id (Intercept) | 0.21 |
| Var: Residual | 0.23 |
| Var explained (Ω) | 0.74 |
| ***p < 0.001, **p < 0.01, *p < 0.05 | |

6 Discussion and Conclusions
The results in this study are similar to previous studies looking at embodiment in the rubber hand illusion [18] and embodiment of virtual hands [31][14] and virtual bodies [28].The results from this study support the idea that embodiment extends from a hand and virtual characters to all kinds of game player-characters. The results are also in line with the afore-mentioned argument by Klevjer [15] that the player-character is a prosthetic extension of a player. A one indication of this is that the controls become phenomenologically invisible.
The theory of embodiment illuminates a possible cognitive mechanics behind the sense of presence. Because the embodiment relates to the sensory-motor integration of a rubber hand, a tool, or a character, that integration comes with changes in conscious perception and that external thing can become invisible in the same way than some of body functions are invisible unless one concentrates to those. This integration leads that the game space becomes near space (cf. [26][15]
In the studies 1 and 2, we identified two components of an embodiment: controller ownership and player-character embodiment.
The structure of embodiment is likely to contain more dimensions than found in this study. Other studies (see [6]) have indicated, for example, that an affective component is a characteristic feature of embodiment. Affective components did not form a factor in our study 1. This might be due to that the affective connection was partly evaluated using question relating to protecting the player-character. As the goals of the game typically require risking the character, it is likely that other ways to evaluate the affective connection would work better. An important question is also if the affective component relates to the embodiment or to something else, such as goal evaluations [17].
Further validation of the embodiment scale remains as future work. An approach for a further validation would be using embodiment questionnaire by [18] and agency and ownership questionnaire by Rognini et al.’s [26] with a task where respondents are controlling a virtual hand and comparing results of these two scales to game embodiment scale results. In addition, a follow-up study using psychophysiological measures could be used
Lankoski[16] has argued player-character engagement consist of two modes: goal-driven engagement and empathic engagement. He claims that goal-driven engagement is fundamental Ï” experience in which the affective experience is based on goal status evaluations. While goal evaluations and emotions are likely to have a role in the player-character engagement, the results of this study indicate that also embodiment (sensory-motor integration of the controller and controlled character to the body image) could have a prominent role in the game engagement. The relations between empathy, goal-driven engagement (and emotions) and embodiment would be another line of further studies.
The main contributions of this study are as follows:
- An instrument for measuring embodiment in videogames.
- Evidence that embodiment (as measured by the instrument) increase as players become more skilled.
- Evidence that the embodiment and presence (as measured using by PENS) are connected
- Comparison of different camera modes suggests that movable first person camera and third person camera provides a higher degree of embodiment than a static third person camera.
References
[1] L. W. Barsalou. Perceptions of perceptual symbols. Behavioral and brain sciences, 22(04):637-660, 1999.
[2] D. Bates, M. Mächler, B. Bolker, and S. Walker. Fitting linear mixed-effects models using lme4. Journal of Statistical Software, 67(1):1-48, 2015.
[3] F. Brühlmann and G.-M. Schmid. How to Measure the Game Experience?: Analysis of the Factor Structure of Two Questionnaires. pages 1181-1186. ACM Press, 2015.
[4] L. Cardinali, F. Frassinetti, C. Brozzoli, C. Urquizar, A. C. Roy, and A. Farnè. Tool-use induces morphological updating of the body schema. Current Biology, 19(12):R478-R479, June 2009.
[5] R. H. B. Christensen. ordinal-Regression Models for Ordinal Data. 2015. R package version 2015.6-28. http://www.cran.r-project.org/package=ordinal/.
[6] F. de Vignemont. Embodiment, ownership and disownership. Consciousness and Cognition, 20(1):82-93, Mar. 2011.
[7] A. P. Field, J. Miles, and Z. Field. Discovering statistics using R. Sage, London ; Thousand Oaks, Calif, 2012.
[8] S. Gallagher. Philosophical conceptions of the self: implications for cognitive
science. Trends in Cognitive Sciences, 4(1):14-21, Jan. 2000.
[9] J. P. Gee. Video games and embodiment. Games and Culture, 3(3-4):253-263, 2008.
[10] S. D. Gosling, P. J. Rentfrow, and W. B. Swann. A very brief measure of the Big-Five personality domains. Journal of Research in Personality, 37(6):504-528, Dec. 2003.
[11] G. R. Hancock and R. O. Mueller, editors. Structural equation modeling: a second course.
Quantitative methods in education and the behavioral sciences. IAP, Greenwich, Conn, 2006. OCLC: ocm62804643.
[12] N. P. Holmes and C. Spence. The body schema and multisensory representation(s) of peripersonal space. Cognitive Processing, 5(2):94-105, June 2004.
[13] L. Hu and P. M. Bentler. Cutoff criteria for fit indexes in covariance structure analysis: Conventional criteria versus new alternatives. Structural Equation Modeling: A Multidisciplinary Journal, 6(1):1-55, Jan. 1999.
[14] W. A. IJsselsteijn, Y. A. W. de Kort, and A. Haans. Is This My Hand I See Before Me? The
Rubber Hand Illusion in Reality, Virtual Reality, and Mixed Reality. Presence: Teleoperators and Virtual Environments, 15(4):455-464, Aug. 2006.
[15] R. Klevjer. Enter the Avatar: The Phenomenology of Prosthetic Telepresence in Computer Games. In J. R. Sageng, H. Fossheim, and T. Mandt Larsen, editors, The
Philosophy of Computer Games, volume 7, pages 17-38. Springer Netherlands, Dordrecht, 2012.
[16] P. Lankoski. Player Character Engagement in Computer Games. Games and Culture, 6:291-311, 2011.
[17] P. Lankoski. Computer Games and Emotions. In J. R. Sageng, H. Fossheim, and T. M. Larsen, editors, The Philosophy of Computer Games, volume 7 of Philosophy of Engineering and Technology, pages 39-55. Springer Netherlands, 2012.
[18] M. R. Longo, F. Schüür, M. P. Kammers, M. Tsakiris, and P. Haggard. What is embodiment? A psychometric approach. Cognition, 107(3):978-998, June 2008.
[19] A. Maravita, C. Spence, S. Kennett, and J. Driver. Tool-use changes multimodal spatial interactions between vision and touch in normal humans. Cognition, 83(2):B25-B34, Mar. 2002.
[20] M. Merleau-Ponty. Phenomenology of Perception. Routledge, 2006/1945.
[21] M. M. Murray and M. T. Wallace. The neural bases of multisensory processes. CRC Press, 2011.
[22] M. Pazzaglia, G. Galli, G. Scivoletto, and M. Molinari. A Functionally Relevant Tool for the Body following Spinal Cord Injury. PLoS ONE, 8(3):e58312, Mar. 2013.
[23] B. Perron. The survival horror: The extended body genre. In Horror Video Games, pages 121-144. McFarland, 2009.
[24] R Core Team. R: A Language and Environment for Statistical Computing,
2016.
[25] W. Revelle. psych: Procedures for Psychological, Psychometric, and Personality Research, 2015. R package version 1.5.8.
[26] G. Rognini, A. Sengül, J. E. Aspell, R. Salomon, H. Bleuler, and O. Blanke.
Visuo-tactile integration and body ownership during self-generated action. European Journal of Neuroscience, 37(7):1120-1129, 2013.
[27] Y. Rosseel. lavaan: An R Package for Structural Equation Modeling. Journal of Statistical Software, 48(2):1-36, 2012.
[28] M. Slater. Inducing illusory ownership of a virtual body. Frontiers in Neuroscience, 3(2):214-220, Sept. 2009.
[29] M. Tsakiris, G. Prabhu, and P. Haggard. Having a body versus moving your body: How agency structures body-ownership. Consciousness and Cognition, 15(2):423-432, June 2006.
[30] R. Xu. Measuring explained variation in linear mixed effects models. Statistics in Medicine, 22(22):3527-3541, Nov. 2003.
[31] Y. Yuan and A. Steed. Is the rubber hand illusion induced by immersive virtual reality? pages 95-102. IEEE, Mar. 2010.
Appendix A: Respondents’ Background
| Age | Sex (%) | ||||
| Mean | SD | Man | Woman | Other | |
| Study 1 | 28.00 | 7.96 | 78.8 | 18.3 | 2.9 |
| Study 2 CFA 1 | 27.15 | 8.43 | 58.3 | 39.8 | 1.9 |
| Study 2 CFA 2 | 27.88 | 7.56 | 47.2 | 49.4 | 3.4 |
| Study 3 | 30.14 | 12.00 | 87.2 | 12.8 | 0.0 |
| Study 4 | 31.18 | 9.48 | 70.5 | 26.1 | 3.4 |
| Study | |||||
| Player gaming | 1 | 2 | 2 | 3 | 4 |
| behaviour | CFA1 | CFA2 | |||
| n | 104 | 103 | 89 | 37 | 31 |
| PC games (%) | |||||
| – Daily | 48.1 | 68.9 | 68.5 | 32.6 | 38.6 |
| – A few times a week | – | 19.4 | 18.0 | 26.2 | 36.4 |
| – Weekly | 30.8 | 5.8 | 3.4 | 15.6 | 13.6 |
| – Monthly | 7.7 | – | – | – | – |
| – Less frequent | 4.8 | 5.8 | 7.9 | 22.7 | 11.4 |
| – Not at all | 8.7 | 0.0 | 2.2 | 2.8 | 0.0 |
| Console games(%) | |||||
| – Daily | 26.0 | 19.4 | 48.3 | 44.7 | 3.4 |
| – A few times a week | – | 7.8 | 18 | 14.2 | 17 |
| – Weekly | 24.0 | 8.7 | 11.2 | 12.1 | 11.4 |
| – Monthly | 14.4 | – | – | – | – |
| – Less frequent | 19.2 | 19.4 | 16.9 | 12.8 | 51.1 |
| – Not at all | 16.3 | 12.6 | 5.6 | 16.3 | 17 |
| Mobile games (%) | |||||
| – Daily | 21.2 | 22.3 | 21.3 | 19.9 | 17 |
| – A few times a week | – | 18.4 | 16.9 | 27.7 | 23.9 |
| – Weekly | 24.0 | 8.7 | 1.1 | 14.2 | 13.6 |
| – Monthly | 4.8 | – | – | – | – |
| – Less frequent | 29.8 | 33.0 | 38.2 | 24.1 | 29.5 |
| – Not at all | 20.2 | 17.5 | 22.5 | 14.2 | 15.9 |
– = The choice was not in the questionnaire.
Appendix B: Embodiment Scores in Studies
| Embodiment | |||
| Mean | Std dev | Cronbach α | |
| Study 1 and 2 games* | 3.33 | 1.43 | 0.82 |
| – Battlefield 4 | 4.00 | 1.57 | |
| – Dota 2 | 3.42 | 1.99 | |
| – Dragon Age: Inquisition | 3.64 | 1.09 | |
| – Fallout 4 | 3.83 | 1.33 | 0.82 |
| – Heroes of the Storm | 3.29 | 1.66 | 0.83 |
| – League of Legends | 2.73 | 1.38 | 0.84 |
| – Star Wars Battlefront | 3.55 | 1.49 | |
| – The Witcher 3 | 3.58 | 1.31 | 0.79 |
| – World of Warcraft | 3.09 | 1.42 | 0.85 |
| Study 3 game | 2.95 | 1.68 | 0.96 |
| – ASDW** | 3.78 | 1.71 | .94/.95/.98/.97 |
| – Changing** | 2.14 | 1.19 | .69/.94/.95/.96 |
| Study 4 game | 2.58 | 1.37 | 0.91 |
| – First person | 2.94 | 1.51 | 0.93 |
| – Third person | 2.78 | 1.38 | 0.93 |
| – Third person static | 2.01 | 1.00 | 0.82 |
Mean, standard deviations, and Cronbach α. * Mean and Std dev are only given when there are 10 or more answers for a game and Cronbach α calculated when there is 20 or more answers; ** Cronbach α is given separately for each trial. Embodiments score average is a composite calculated from the average of scale items. The questions used 7-point Likert scale.
Footnotes:
1A player-character is a character controlled by a player.
2The random effects only model assumes that personal differences predict all differences in the data.
3a linear mixed model: log(Time+1)-controls and the respondent as a random effect
File translated from TEX by TTH,
version 4.08.
On 15 Sep 2016, 16:24.

Study 4 was counterbalanced. That is just not mentioned.